Hakikat Ekonomi Dan Bisnis
Ilmu ekonomi adalah ilmu yang berhubungan dengan produksi, distribusi, dan konsumsi. Vivin asriani putri mooy ( 2017330023 ) 1
HAKIKAT EKONOMI DAN BISNIS Manu Blog
Perusahaan merupakan suatu organisasi yang melakukan kegiatan produksi dengan mengolah sumber ekonomi yang ada agar dapat menyediakan barang dan jasa kebutuhan masyarakat dengan tujuan memperoleh keuntungan dan menciptakan kepuasan bagi masyarakat dengan tujuan memperoleh keuntungan dan kepuasan bagi masyarakat.

Hakikat ekonomi dan bisnis. Hakikat bisnis adalah usaha untuk memenuhi kebutuhan manusia, organisasi ataupun masyarakat luas. Dalam pertukaran itu terkandung permintaan dan penawaran. Dionesia ngole ( 2017330025 ) 5.
Lazimnya sebuah bisnis, agar bisa menjadi besar maka harus merangkul dan memanfaatkan semua potensi yang ada secara maksimal. Hakikat ekonomi ilmu ekonomi adalah sebagian ilmu yang berhubungan dengan produksi, distribusi, dan konsumsi. Kegiatan bisnis dapat dirasakan oleh semua orang.
Seluruh orang merupakan masyarakat negeri yang sama status serta perannya, apalagi sama kewajiban sipilnya, sehingga wajib diperlakukan sama cocok dengan hukum yang berlaku. Agustina ina deran ( 2017330029 ) 3. Adelaida krista manesanulu ( 2017330024 ) 2.
Sumber daya strategis (strategic resources), yaitu semua yang berhubungan dengan kompetensi utama, proses inti, dan aset strategis.; Pemilik dan pelaku atau para pekerja dari sebuah bisnis tersebut akan mendapatkan imbalan sesuai dengan waktu, usaha, atau kapital yang mereka berikan. Perantara pelanggan (customer interface), yaitu.
Resume hakikat ekonomi dan bisnis oleh kelompok 1 nama anggota kelompok : Seperti diketahui bahwa manusia primitif memiliki kebutuhan yang sangat terbatas dalam kebutuhan pokok, sandang, pangan, dan papan. Hakikat llmu ekonomi, hubungan bisnis dan masyarakat.
Pertanyaan tentang etika bisnis dan tanggung jawab sosial 2. Beberapa periode indonesia telah berganti preseiden, akan tetapi dalam penerapan sistem ekonomi pancasila masih jauh dari harapan, rakyat masih tetap miskin. Pada awalnya manusia melakukan pertukaran secara riil antara kebutuhan yang satu terhadap suatu barang ekonomi dengan kebutuhan yang lain terhadap suatu barang yang berbeda.
Etika bisnis syariah merupakan kajian yang sangat menarik untuk dipelajari karena merupakan ranah kajian yang sedang dan akan mengalami perkembangan seiring dengan perkembangan ekonomi islam dan keuangan islam baik secara keilmuan maupun kelembagaan. Businessman (seorang pebisnis) akan selalu melihat adanya kebutuhan masyarakat dan kemudian mencoba untuk melayani secara baik sehingga masyarakat menjadi puas dan senang.… Fivanda isnai f ( 2017330058 ) 6.
Bisnis dalam ekonomi kapitalis, bisnis yakni dimiliki oleh pihak swasta, bisnis di bentuk untuk mendapatkan keuntungan dan meningkatkan kemakmuran para pemiliknya. Dunia bisnis adalah dunia keputusan dan tindakan. Konstitusi keadilan sosial total final.
Etika ini dapat dipraktikkan dalam tiga taraf. Alifia nur kholifah ( 2017330017 ) 4. Hakikat moral adalah tidak merugikan orang lain.
Hakikat bisnishakikat bisnis adalah usaha untuk memenuhi kebutuhan manusia ( produk atau jasa ) yang bermanfaat bagi masyarakat. Contoh dan karakterisktik ekonomi dalam bisnis. Hakikat ekonomi dan bisnis 1.
Secara teoritis, sistem ekonomi pancasila merupakan fondasi yang paling baik dan paling sesuai untuk membangun hakikat manusia seutuhnya. Etika bersifat abstrak dan berkenaan dengan persoalan baik dan buruk, sedangkan bisnis adalah konkrit dan harus mewujudkan apa yang telah diputuskan. Ilmu ekonomi adalah ilmu yang berhubungan dengan produksi, distribusi, dan konsumsi.
Mereka hidup bergerombol dan saling memenuhi kebutuhan mereka sendiri dengan mengusahakan areal tanah yang mereka miliki. Berbelanja di pasar, membaca koran, menonton televise, menggunakan angkutan kota, mengendarai motor, membeli makan di warung, membaca buku, ‘searching’ internet, memakai baju, menghubungi teman dengan hp, dan sebagainya. Bab 4 hakikat ekonomi dan bisnis hakikat ekonomi ekonomi berasal dari kata yunani oikonomia yaitu pengelolaan rumah, yang berarti cara rumah tangga memperoleh dan menghasilkan barang dan jasa untuk memenuhi kebutuhan hidup (fisik) anggota rumah tangganya (capra, 2002).
Seluruh dosen dan staff fakultas ekonomi dan bisnis islam yang telah memberikan ilmu yang luar biasa serta membantu penulis dalam kegiatan perkuliahan serta membantu dalam penyelesaian skripsi ini. Modul 1 ini terdiri dari Masukan dan nasehat selama penyelesaian skripsi ini.
Hakikat ekonomi dan bisnis hakikat ekonomi ekonomi berasal dari kata yunani oikonomia yaitu pengelolaan rumah, yang berarti cara rumah tangga memperoleh dan menghasilkan barang dan jasa untuk memenuhi kebutuhan hidup (fisik) anggota rumah tangganya (capra, 2002). Etika bisnis syariah beserta dengan ruang lingkupnya. Ilmu ekonomi berkembang berdasarkan asumsi dasar yang masih dipegang hingga saat ini, yaitu adanya kebutuhan manusia yang tidak terbatas dihadapkan pada sumber daya yang terbatas, sehingga menimbulkan persoalan bagaimana mengekploitasi sumber daya.
Mengacu pada pengertian ekonomi bisnis dan contohnya bisa dijelaskan antara lain seperti kewirausahaan dan pentingnya interaksi hubungan yang harmonis dari 4 aspek dalam sebuah usaha mulai dari karyawan, penyedia modal, konsumen dan pemerintah. Dunia etika adalah dunia filsafat, nilai, dan moral. Pada umumnya dalam konsep bisnis terdapat beberapa komponen utama, yaitu:
Setiap hari kita terlibat dalam kegiatan bisnis seperti : Hakikat ekonomi ialah pertukaran, pertukaran kebutuhan yang satu dengan yang lain. Jasa raharja (persero) cabang sumatera utara yang
Pengertian bisnis ini merupakan suatu kegiatan atau aktivitas yang dilakukan oleh perorangan atau juga organisasi yang melingkupi aktivitas produksi, pembelian, penjualan, atau juga pertukaran barang/ jasa, dengan tujuan untuk bisa mendapatkan keuntungan atau laba.
HAKIKAT PEMBELAJARAN ENGLISH FOR YOUNG LEARNERS (EYL
Hakikat llmu Ekonomi, Hubungan Bisnis dan Masyarakat Postrat
UAP ETIKA PROFESI XAN BISNIS DHEA TASYA SABRINA 19752015
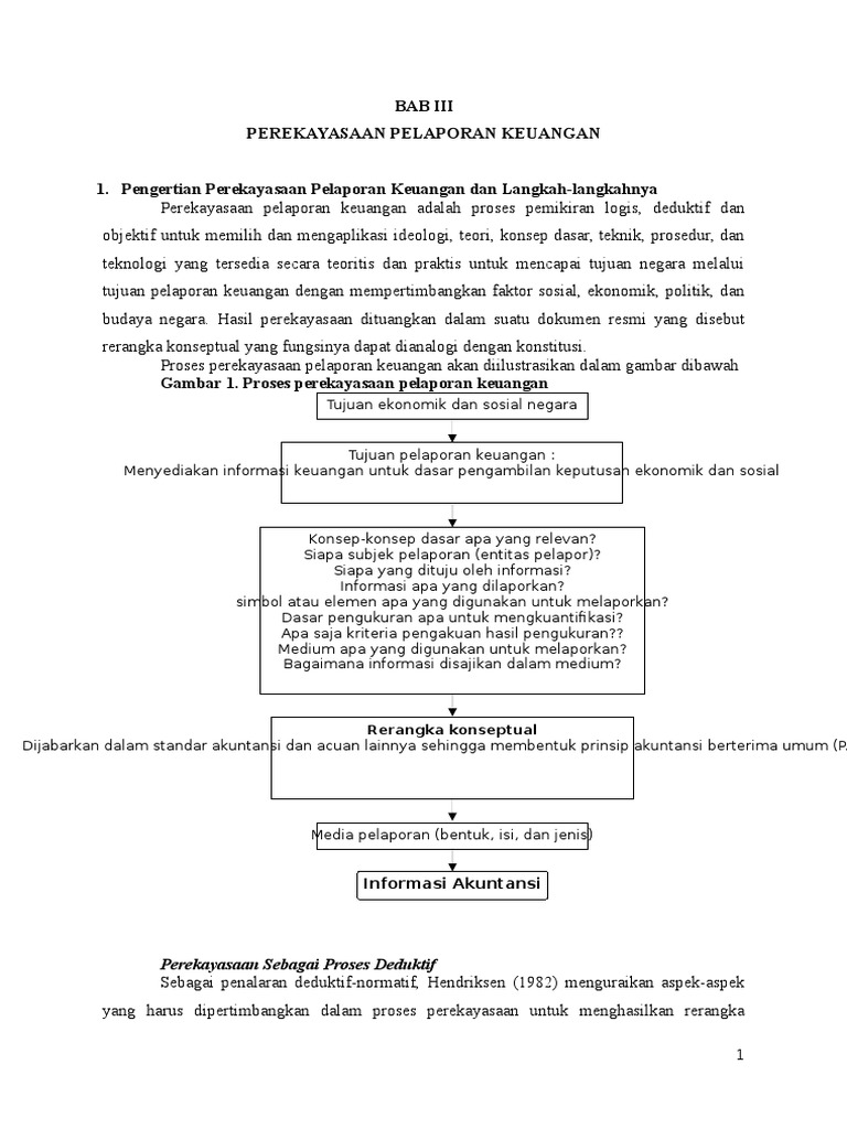
Ringkasan Teori Akuntansi Perekayasaan Pelaporan
Semakin Banyak Berbagi, Semakin Banyak Menerima Part 2
Etika Perusahaan Sebagai Pelaku Bisnis
Hakikat Bahasa Dalam Agama Islam Ilham Nur Kholiq
Presentasi pengantar hukum dan etika bisnis kontrak
Pertanyaan Etika Bisnis Dan Tanggung Jawab Sosial Bali
Hakikat Ekonomi dan Bisnis by Hanny Mahanie on Prezi Next
(DOC) ETBIS BAB 4 HAKIKAT EKNOMI DAN BISNIS.docx ilham
Hukum Persaingan Usaha “Hakikat Fungsi KPPU di Indonesia
HAKIKAT MAKNA BISNIS DALAM PANDANGAN AL HAKIKAT MAKNA
Etika Bisnis dalam Sistem Liberalis dan Sosialis
Hakikat Etika Bisnis Dan Pengertian Etika Bisnis
Comments
Post a Comment